玩偶姐姐

多铌氧簇基无机分子镊子:选择性离子捕获及交换机理研究

作者: 时间:2023-04-28 点击数:


团簇离子交换材料在分子仿生和纳米器件等方面具有独特和潜在的重要应用。迄今,高维材料层间或孔道内的客体离子与外界客体离子间的离子交换研究较为广泛,但针对零维团簇,特别是巨型高核纳米团簇自身携带的客体离子与外界客体离子间交换行为的研究尚待发展。此外,大多数离子交换材料在交换后难以保持高质量的结晶度,因而难以在原子精度水平上对它们离子交换过程和交换机理进行研究。

郑寿添课题组报道了一类纯无机的高核多铌氧簇基框架材料。该材料展现了有趣的离子交换行为且在离子交换后能保持高的结晶度。该团队通过离子交换获得了十余例高质量的单晶结构,并在原子精度水平上对结构中独特的高核多铌氧簇的离子交换行为、选择性和交换机理进行了深入研究。

 

1

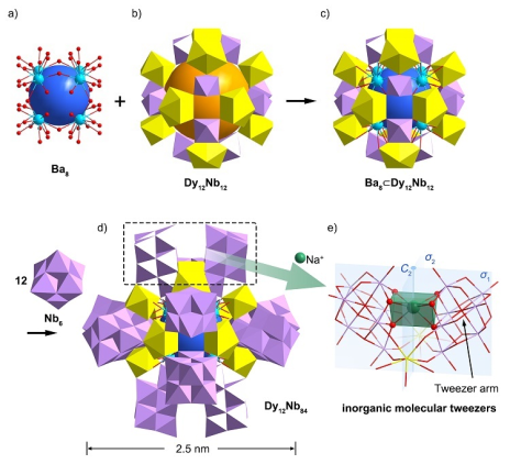
研究结果表明,高核多铌氧簇具有独特的近二十面体的类病毒核壳结构,其表面的十二个{Nb6}单元构成了六对的具有C2v对称性螯合腔的无机分子镊子”。每一对“分子镊子”均限域了一类特征的六配位三棱柱配位场,并在其配位场的中心捕获了一个Na离子。由于六对“分子镊子”均匀地分布在球形高核多铌氧簇的表面,使每个团簇分子宛如“分子章鱼”,可以通过释放Na离子来捕获外界金属离子。首先,其配位构型随着被捕获的金属离子的不同可以呈现出不同的配位构型,如平面四方形配位的Cu2+离子和三棱柱配位的Mn2+Co2+离子。其次,这些纯无机“分子镊子”并不是刚性的,而是呈现出一定的柔性,这些“镊子的开口”通过在一定范围内的张合来适应及捕获不同半径的金属离子。再者“分子镊子”对不同金属离子的捕获优先级不同,其选择性顺序为Cu2+ > Co2+> Mn2+> Na+,但完全排斥Ni2+离子。通过对这种独特的螯合腔的晶体场稳定化能和各种金属离子的水合能的分析,研究者对上述现象进行了合理的解释。值得注意的是,该团簇展示的对Cu离子特别偏好和Ni离子排斥的行为与哺乳动物中蛋白酶对CuNi离子的选择性偏好类似,是一种可用于仿生应用的潜在无机模拟物。最后,通过密度泛函理论计算、时间依赖性的离子交换单晶结构分析和荧光测试,研究者揭示了“分子镊子”和过渡金属离子之间的类SN1反应的交换机制,其离子交换过程可以分为两步。第一步,随着二价金属离子接近分子镊子,它们可以使分子镊子内部的静电势显著增加,增加的静电势驱动Na+离子的洗脱以降低系统能量,该过程由静电相互作用控制;第二步,金属离子进入配位场中心进一步降低系统能量,该过程由轨道相互作用决定。

 

2

 

3

 

4

 

这项工作从原子级精度上系统地展示了一类纳米团簇的离子交换性质及其机理研究,对于仍待开发的团簇离子交换材料的探索研究具有重要意义。

相关研究成果以Giant Polyoxoniobate-Based Inorganic Molecular Tweezers: Metal Recognitions, Ion-Exchange Interactions and Mechanism Studies为题,于近日发表在Angew. Chem. Int. Ed, 2023, 62, e202217926上。文章的第一作者是福州大学的博士生吴平鑫,通讯作者为福州大学的孙财副教授和郑寿添教授。

 

Copyright © 2010-2025 福州大学化学学院版权所有